資源導覽:題名:吏部為參雅安縣典史革審由 | 中央研究院數位典藏資源網
中央研究院數位典藏資源網
登入
數位文化中心
舊版資源網
English
專題文章
資源導覽
精選圖庫
展覽館群
了解數位典藏
藏趣閣
數位文化電子報
red
orange
yellow
green
blue
purple
facebook
首頁
›
資源導覽
›
藏品
›
題名:吏部為參雅安縣典史革審由
題名:吏部為參雅安縣典史革審由
熱門:
209
資料識別:
登錄號:155542-001
.
資料類型:
類型:檔案 層次:件
著作者:
責任者:吏部
範圍:
責任日期:嘉慶10年10月
描述:
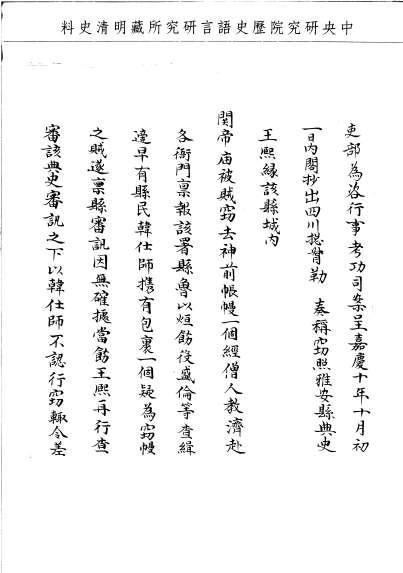
事由:移會
稽察房
四川總督奏為
雅安
縣典史
王熙審訊
韓仕
師不認行竊輙令
差役
用荊條責打即于是晚身死應請旨革職
署知縣
魯以烜未能即時審出實情應解任嚴審 典藏沿革:內閣檔庫 版本:原件 典藏沿革:內閣檔庫 保存狀況:整
格式:
數量:1
日期:
責任日期:嘉慶10年10月
語言:
語文:chi-漢文
管理權:
版權:中央研究院歷史語言研究所版權所有
後設資料創用CC授權條款:
完整資料下載
連結原始資料
點圖放大
引用資訊:
複製